本文观点仅代表个人立场,不构成任何投资建议。
美伊战争有缓和的迹象,昨晚美股三大指数都是收红的。受此影响,A 股开盘到收盘都是红的。
我的观点是在这个位置还会继续震荡反复,不会一下子拉上去,因为主力拿到的筹码还不够多,然后今天量能也是一般般的。
今天A股三大指数集体收涨,上证指数涨了1.46%,收于3948.55点;深圳成指涨了1.7%,收于13706.52点;创业板指涨了1.96%,收于3247.52点。总成交额为2.02万亿元,较上个交易日量能放量189.8亿元。
上涨家数4495家,下跌家数为887家,下跌家数又来到了过热区域,按一般情况,明天会分化。
全市场涨停的有65家,跌停14家,短线炒作情绪一般。
今天股票市场涨跌幅的中位数是1.52%,赚钱效应佳。

日线级别
今天缩量上涨1.86%,最近缺口今天也没有完全补掉,也有量能限制,明天应该会回调一下。

30分钟级别
今天跳空上涨,在走向上一笔的过程中。

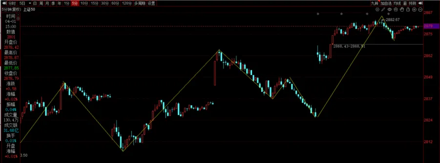
5分钟级别
在走向上一笔过程中,目前在重新构建新的5 分钟中枢。

创业板指数
今天平量上涨1.96%,收了一根 T 字形 K 线。
30 分钟级别上,在走向上一笔的过程中,看这向上笔能走到啥程度,目前整体上是一个中枢向下的走势。
科创50
今天微放量上涨3.33%,把昨天的阴线全部吃掉了。
30 分钟级别上,表现为中枢震荡,在走向上一笔的过程中,看这向上一笔能走到啥程度。
中证500
今天缩量上涨 1.74%,收了一根 T 字形 K 线。
30 分钟级别上,目前表现为中枢震荡,在走向上一笔。
往期更文:
如果觉得今天的行情分析对你有帮助,麻烦花 10 秒做件小事
1、点个【赞】+【推荐】❤️
你的每一个点亮,都是我坚持拆解行情的小动力!
2、戳公众号名片【关注】+【星标】⭐️
点击公众号主页右上角「・・・」,设为星标后,每天的盘面解读、板块判断会第一时间弹到你眼前,再也不怕错过关键信息。
大家有任何问题,欢迎在评论区留言。
本文观点仅代表个人立场,不构成任何投资建议。