本文观点仅代表个人立场,不构成任何投资建议。
美伊战争有缓和的动作,原油大跌,今天A 股量价齐升,绝地反击,走出了久违的一根大阳线。
今天A股三大指数集体收涨,上证指数涨了2.7%,收于3995点;深圳成指涨了4.79%,收于14042.5点;创业板指涨了5.91%,收于3347.61点。总成交额为2.45万亿元,较上个交易日量能放量8271亿元。
上涨家数5174家,下跌家数为301家,今天上涨家数更偏多了,明天看分化。
全市场涨停的有135家,跌停12家,短线炒作情绪极好。
今天股票市场涨跌幅的中位数是3.72%,赚钱效应极佳。

日线级别
昨天说没量看震荡,今天终于来量了。今天放量上涨2.7%,收盘还是光头阳线,明天按道理还会继续往上冲。

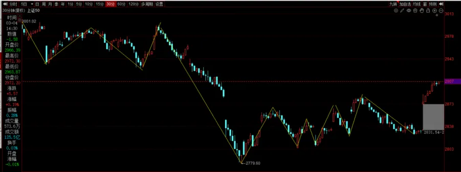
30分钟级别
30 分钟看中枢震荡往上走,目前是越走越强的。但目前线上一笔还没有结束,继续看其向上生长。

5分钟级别
5 分钟今天走了超强的向上一笔,它目前在这个位置,会重新构建中枢。

创业板指数
今天放量上涨5.91%,明天再冲一下就达到前高了,这里应该会震荡一下,所以明天短线是逢高减的机会。
30 分钟级别上,从同级别分解角度,先看一笔向上走先,目前没有顶分型出来,收盘也是光头阴线,明天继续看往上冲。
科创50
今天放量上涨6.18%。
30 分钟结构上,在构建了一个二买以后走向上一笔,目前这一笔没有走完,明天继续看多。
中证500
今天放量上涨 4.94%。
30 分钟结构上,也是在构建类二买以后,在走离开段,目前这一离开段走得很强,还没有走完。
往期更文:
如果觉得今天的行情分析对你有帮助,麻烦花 10 秒做件小事
1、点个【赞】+【推荐】❤️
你的每一个点亮,都是我坚持拆解行情的小动力!
2、戳公众号名片【关注】+【星标】⭐️
点击公众号主页右上角「・・・」,设为星标后,每天的盘面解读、板块判断会第一时间弹到你眼前,再也不怕错过关键信息。
大家有任何问题,欢迎在评论区留言。
本文观点仅代表个人立场,不构成任何投资建议。