当前位置:首页>行业>钢铁行业薪酬体系白皮书:岗位价值评估与市场对标

钢铁行业薪酬体系白皮书:岗位价值评估与市场对标

  • 2026-03-31 23:13:16
钢铁行业薪酬体系白皮书:岗位价值评估与市场对标

导语:

变革的本质是权力的重构,而权力的终极体现是分配权。我们在上一篇洞察中展示了人才价值从“管理人”到“治理逻辑”的翻转图谱,现在,这种翻转必须在企业的工资单上得到真实的映射

面对外部环境带来的利润侵蚀,传统的、以行政职级为核心的分配逻辑已无法支撑极致产线下的价值创造。薪酬不再是单纯的财务支出,而是对冲周期风险、提取“管理溢价”的核心杠杆 。本篇将深度拆解:如何通过岗位价值重估与市场对标,让真正的核心人才在微利时代实现“名利双收

岗位价值重估:从“行政广度”转向“逻辑深度”

在传统的长流程钢铁生产时代,岗位价值的评估高度依赖于“行政广度”——即一名管理者所覆盖的物理空间和管理的员工规模。由于地理距离导致的“信息延迟”,企业不得不通过设立“段长”来切分管理半径,形成了一个个职能深井,管理者的价值在很大程度上体现在行政协调与“肉身盯防”的覆盖面上 。然而,随着部分极致产线将流程压缩,原本分散的物理工序界面已经彻底消融,这种基于物理距离的“管理溢价”正在迅速贬值。在敏捷组织架构下,如果继续按照“管了多少人”来评价岗位价值,不仅会导致职能冗余,更会因“信息烟囱”阻碍全要素生产率的释放

岗位价值的评价基准正加速从“行政权力”向“逻辑治理”迁移 。在“职能中心化”的架构中,决策权的重心已上移至由算力驱动的中台 。因此,评价一个岗位的核心指标不再是其行政职级的高低,而是该岗位对算法逻辑的深度贡献 。

重塑人才价值的分配逻辑在内外因素影响下利润被逐步蚕食,薪酬体系必须与“逻辑深度”深度挂钩,以对冲环保与地缘政治等内外部带来的成本压力。我们不再为“平庸的行政协调”买单,而是为“精准的逻辑治理”支付溢价。这种价值重塑要求岗位评估体系必须引入“数据影响力系数” :

  • 低碳贡献权重:岗位是否具备识别并优化碳足迹核算规则的能力,直接关系到企业在CBAM机制(欧盟碳边境调节机制)下的生存利润

  • 决策流速溢价:当决策链路从传统的“串行爬坡”进化为敏捷时代的“并行闭环”,岗位在秒级响应中贡献的确定性,正是企业在微利时代提取出的“管理溢价”。通过这种“去量提质”的重构,钢铁企业才能在不依赖人力堆砌的前提下,完成从“经验驱动”向“逻辑驱动”的终极人才价值跃迁。

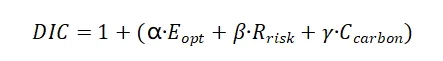
数据影响力系数(Data Influence Coefficient, DIC) 模型:

岗位价值的溢价评估可参考以下非线性加权公式:

参数定义与战略权重解析:

  • α,β,γ(战略加权因子):由企业根据当年度经营重心动态设定的权重系数(如当前重点对冲CBAM,则调高γ)。

  • E_eopt(能流耦合优化指数):衡量岗位通过数据打破“工序孤岛”,实现全流程能量平衡、消除煤气放散与电能损耗的能力。

  • R_risk(极端场景纠偏频率与成功率):量化专家在 1% 极端时刻实施“一票裁决”的经济价值,是守住系统不发生批量溃败的风险对冲指标。

  • C_carbon(单位产品碳足迹压降贡献):岗位对单吨钢材60-80美元碳关税的识别与逻辑优化贡献,直接关联企业的出口生存利润。

市场对标的维度位移:精准分层下的利益再分配

在咨询陪跑钢企转型的实务中,我们发现“一刀切”的行业对标往往会导致资源配置的极度低效。钢铁企业薪酬体系,必须建立在“分层对标”的精细化逻辑之上,以应对不同岗位性质带来的竞争压力 。当95%的标准工况已经由算法接管,现场的操作性岗位与中台的决策性岗位在人才市场上的稀缺度已完全不可同日而语。

  • 标准化岗位的“效率对标”:针对智现场的数字化操作人才,企业应继续维持在行业中位分位(P50)的对标策略,核心目标是通过核对产线情况带来的定员精简,实现人均产出的极致拉升,从而在不增加总包负担的前提下,确保基础薪酬的竞争力 。

  • 核心专家的“稀缺性溢价”:而对于那5%-10%实施“一票裁决”的专家中心(COE)成员,必须果断对标高科技行业的75 分位(P75)甚至更高水平。这种差异化的对标位移,旨在通过精准的激励引导,鼓励人才从传统的行政职级向“逻辑深度”转型,实现从“为职位付薪”到“为人才稀缺度付薪”的实操跃迁。同时这种高对标不仅是为了激励,更是为了覆盖其跨界流失的重置成本。

打破职级天花板:双通道薪酬与“宽带化”实验

在新的职能中心化架构下,钢铁企业必须面临最深刻的利益解构:行政权力的收缩与专业主权的回归。传统的“官本位”职级体系在此背景下已显得极度臃肿,原本依赖逐级向上汇报、通过职级晋升获取薪酬增长的逻辑,正成为阻碍秒级决策的最大摩擦力。钢企应彻底落地“管理”与“专业”双通道薪酬体系,核心目标是为那5%-10%的顶级匠人建立一条不依赖行政职务、仅凭“逻辑贡献”就能触达薪酬顶峰的独立通道 。

如上图《岗位价值与薪酬通道对位图》所示,薪酬重构并非简单的涨薪,而是通过带宽翻转实现价值回归。通过拉高技术专家的天花板,使其在不转任行政职务的前提下,依然能通过逻辑深度的积累,进入原本仅属于高层管理者的薪酬区间。这种多通道的深度重叠,是确保那5%-10%顶级匠人沉下心来驯化算法的制度保障。

这种双通道的设计本质上是在为“专家中心(COE)”注入财务灵魂。通过引入“宽带化”薪酬实验,我们将原本细碎、密集的职级阶梯进行合并与拉宽,为“钢铁数字架构师”提供跨度极大的薪酬带宽 。这意味着,一名负责算法纠偏与极端工况“一票裁决”的核心专家,即使不担任任何行政实职,其薪酬分位也完全能够对标甚至超越传统的二级厂长或部室负责人 。这种制度性保障确保了组织中最具生产力的细胞能够持续深耕于工艺本质,而非在行政内耗中平庸化。

咨询顾问观点:

钢铁行业利润寒冬的深水区,薪酬是利润红线的“最后一道溢价”薪酬体系必须从单纯的“行政成本”升级为对冲外部风险的“战略头寸”。面对内外部环境带来的利润削减压力,传统的官本位职级已无法支撑新情况下的价值创造。重塑薪酬逻辑的本质是对“逻辑深度”进行定价,通过为那5%-10%的顶级匠人支付溢价,确保组织在算法自愈与极端场景决策中守住利润底座。只有通过利益分配权的重构,才能将人力成本转化为抵御行业下行风险、提取管理溢价的终极核武器

核心洞察:

  • 价值翻转:评价维度从“行政广度”彻底转向“逻辑深度”,确保薪酬重心向算法影响力和风险控制力倾斜。

  • 溢价对冲:将核心专家定义为“资产保全者”,其薪酬溢价是对冲利润减损的必要“保险费”。

  • 专业主权通过双通道薪酬与宽带化实验,确立专家中心(COE)在闭环中的终审决策权。

  • 效率变现:引入数据影响力系数,将决策流速的提升与合规成本的压降直接折算为个人的分配溢价。

钢企领导层必须完成从“管理本位”向“价值本位”的惊险一跃,果断打破传统行政职级的利益平衡。在存量博弈中,谁能解决算法无法处理的1%极端黑天鹅事件,谁就理应分享最丰厚的利润红利。企业应在薪酬对标上实施“跨维打击”,针对数智核心人才实施领先型薪酬策略,以高额激励置换更高的运营确定性。唯有实现分配上的“专业主权回归”,才能真正激活存量人才资产,在极致产线重构中提取出最稳健的边际利润。

有了科学的岗位定价与对标体系,解决了“值多少钱”的问题。但如何确保这些拿高薪的数智人才产生真实的产出?下一篇洞察我们将深入探讨:《绩效驱动:钢铁企业产量、安全与环保的三位一体考核》,为您拆解在算法闭环时代,如何构建绩效评价反馈链。

作者:汉哲咨询集团 杨家晗

最新文章

随机文章

基本 文件 流程 错误 SQL 调试
  1. 请求信息 : 2026-04-18 15:26:05 HTTP/2.0 GET : https://mffb.com.cn/a/473267.html
  2. 运行时间 : 0.083263s [ 吞吐率:12.01req/s ] 内存消耗:4,286.79kb 文件加载:140
  3. 缓存信息 : 0 reads,0 writes
  4. 会话信息 : SESSION_ID=690f0fa3324abf112f38f904a234e041
  1. /yingpanguazai/ssd/ssd1/www/mffb.com.cn/public/index.php ( 0.79 KB )
  2. /yingpanguazai/ssd/ssd1/www/mffb.com.cn/vendor/autoload.php ( 0.17 KB )
  3. /yingpanguazai/ssd/ssd1/www/mffb.com.cn/vendor/composer/autoload_real.php ( 2.49 KB )
  4. /yingpanguazai/ssd/ssd1/www/mffb.com.cn/vendor/composer/platform_check.php ( 0.90 KB )
  5. /yingpanguazai/ssd/ssd1/www/mffb.com.cn/vendor/composer/ClassLoader.php ( 14.03 KB )
  6. /yingpanguazai/ssd/ssd1/www/mffb.com.cn/vendor/composer/autoload_static.php ( 4.90 KB )
  7. /yingpanguazai/ssd/ssd1/www/mffb.com.cn/vendor/topthink/think-helper/src/helper.php ( 8.34 KB )
  8. /yingpanguazai/ssd/ssd1/www/mffb.com.cn/vendor/topthink/think-validate/src/helper.php ( 2.19 KB )
  9. /yingpanguazai/ssd/ssd1/www/mffb.com.cn/vendor/topthink/think-orm/src/helper.php ( 1.47 KB )
  10. /yingpanguazai/ssd/ssd1/www/mffb.com.cn/vendor/topthink/think-orm/stubs/load_stubs.php ( 0.16 KB )
  11. /yingpanguazai/ssd/ssd1/www/mffb.com.cn/vendor/topthink/framework/src/think/Exception.php ( 1.69 KB )
  12. /yingpanguazai/ssd/ssd1/www/mffb.com.cn/vendor/topthink/think-container/src/Facade.php ( 2.71 KB )
  13. /yingpanguazai/ssd/ssd1/www/mffb.com.cn/vendor/symfony/deprecation-contracts/function.php ( 0.99 KB )
  14. /yingpanguazai/ssd/ssd1/www/mffb.com.cn/vendor/symfony/polyfill-mbstring/bootstrap.php ( 8.26 KB )
  15. /yingpanguazai/ssd/ssd1/www/mffb.com.cn/vendor/symfony/polyfill-mbstring/bootstrap80.php ( 9.78 KB )
  16. /yingpanguazai/ssd/ssd1/www/mffb.com.cn/vendor/symfony/var-dumper/Resources/functions/dump.php ( 1.49 KB )
  17. /yingpanguazai/ssd/ssd1/www/mffb.com.cn/vendor/topthink/think-dumper/src/helper.php ( 0.18 KB )
  18. /yingpanguazai/ssd/ssd1/www/mffb.com.cn/vendor/symfony/var-dumper/VarDumper.php ( 4.30 KB )
  19. /yingpanguazai/ssd/ssd1/www/mffb.com.cn/vendor/topthink/framework/src/think/App.php ( 15.30 KB )
  20. /yingpanguazai/ssd/ssd1/www/mffb.com.cn/vendor/topthink/think-container/src/Container.php ( 15.76 KB )
  21. /yingpanguazai/ssd/ssd1/www/mffb.com.cn/vendor/psr/container/src/ContainerInterface.php ( 1.02 KB )
  22. /yingpanguazai/ssd/ssd1/www/mffb.com.cn/app/provider.php ( 0.19 KB )
  23. /yingpanguazai/ssd/ssd1/www/mffb.com.cn/vendor/topthink/framework/src/think/Http.php ( 6.04 KB )
  24. /yingpanguazai/ssd/ssd1/www/mffb.com.cn/vendor/topthink/think-helper/src/helper/Str.php ( 7.29 KB )
  25. /yingpanguazai/ssd/ssd1/www/mffb.com.cn/vendor/topthink/framework/src/think/Env.php ( 4.68 KB )
  26. /yingpanguazai/ssd/ssd1/www/mffb.com.cn/app/common.php ( 0.03 KB )
  27. /yingpanguazai/ssd/ssd1/www/mffb.com.cn/vendor/topthink/framework/src/helper.php ( 18.78 KB )
  28. /yingpanguazai/ssd/ssd1/www/mffb.com.cn/vendor/topthink/framework/src/think/Config.php ( 5.54 KB )
  29. /yingpanguazai/ssd/ssd1/www/mffb.com.cn/config/app.php ( 0.95 KB )
  30. /yingpanguazai/ssd/ssd1/www/mffb.com.cn/config/cache.php ( 0.78 KB )
  31. /yingpanguazai/ssd/ssd1/www/mffb.com.cn/config/console.php ( 0.23 KB )
  32. /yingpanguazai/ssd/ssd1/www/mffb.com.cn/config/cookie.php ( 0.56 KB )
  33. /yingpanguazai/ssd/ssd1/www/mffb.com.cn/config/database.php ( 2.48 KB )
  34. /yingpanguazai/ssd/ssd1/www/mffb.com.cn/vendor/topthink/framework/src/think/facade/Env.php ( 1.67 KB )
  35. /yingpanguazai/ssd/ssd1/www/mffb.com.cn/config/filesystem.php ( 0.61 KB )
  36. /yingpanguazai/ssd/ssd1/www/mffb.com.cn/config/lang.php ( 0.91 KB )
  37. /yingpanguazai/ssd/ssd1/www/mffb.com.cn/config/log.php ( 1.35 KB )
  38. /yingpanguazai/ssd/ssd1/www/mffb.com.cn/config/middleware.php ( 0.19 KB )
  39. /yingpanguazai/ssd/ssd1/www/mffb.com.cn/config/route.php ( 1.89 KB )
  40. /yingpanguazai/ssd/ssd1/www/mffb.com.cn/config/session.php ( 0.57 KB )
  41. /yingpanguazai/ssd/ssd1/www/mffb.com.cn/config/trace.php ( 0.34 KB )
  42. /yingpanguazai/ssd/ssd1/www/mffb.com.cn/config/view.php ( 0.82 KB )
  43. /yingpanguazai/ssd/ssd1/www/mffb.com.cn/app/event.php ( 0.25 KB )
  44. /yingpanguazai/ssd/ssd1/www/mffb.com.cn/vendor/topthink/framework/src/think/Event.php ( 7.67 KB )
  45. /yingpanguazai/ssd/ssd1/www/mffb.com.cn/app/service.php ( 0.13 KB )
  46. /yingpanguazai/ssd/ssd1/www/mffb.com.cn/app/AppService.php ( 0.26 KB )
  47. /yingpanguazai/ssd/ssd1/www/mffb.com.cn/vendor/topthink/framework/src/think/Service.php ( 1.64 KB )
  48. /yingpanguazai/ssd/ssd1/www/mffb.com.cn/vendor/topthink/framework/src/think/Lang.php ( 7.35 KB )
  49. /yingpanguazai/ssd/ssd1/www/mffb.com.cn/vendor/topthink/framework/src/lang/zh-cn.php ( 13.70 KB )
  50. /yingpanguazai/ssd/ssd1/www/mffb.com.cn/vendor/topthink/framework/src/think/initializer/Error.php ( 3.31 KB )
  51. /yingpanguazai/ssd/ssd1/www/mffb.com.cn/vendor/topthink/framework/src/think/initializer/RegisterService.php ( 1.33 KB )
  52. /yingpanguazai/ssd/ssd1/www/mffb.com.cn/vendor/services.php ( 0.14 KB )
  53. /yingpanguazai/ssd/ssd1/www/mffb.com.cn/vendor/topthink/framework/src/think/service/PaginatorService.php ( 1.52 KB )
  54. /yingpanguazai/ssd/ssd1/www/mffb.com.cn/vendor/topthink/framework/src/think/service/ValidateService.php ( 0.99 KB )
  55. /yingpanguazai/ssd/ssd1/www/mffb.com.cn/vendor/topthink/framework/src/think/service/ModelService.php ( 2.04 KB )
  56. /yingpanguazai/ssd/ssd1/www/mffb.com.cn/vendor/topthink/think-trace/src/Service.php ( 0.77 KB )
  57. /yingpanguazai/ssd/ssd1/www/mffb.com.cn/vendor/topthink/framework/src/think/Middleware.php ( 6.72 KB )
  58. /yingpanguazai/ssd/ssd1/www/mffb.com.cn/vendor/topthink/framework/src/think/initializer/BootService.php ( 0.77 KB )
  59. /yingpanguazai/ssd/ssd1/www/mffb.com.cn/vendor/topthink/think-orm/src/Paginator.php ( 11.86 KB )
  60. /yingpanguazai/ssd/ssd1/www/mffb.com.cn/vendor/topthink/think-validate/src/Validate.php ( 63.20 KB )
  61. /yingpanguazai/ssd/ssd1/www/mffb.com.cn/vendor/topthink/think-orm/src/Model.php ( 23.55 KB )
  62. /yingpanguazai/ssd/ssd1/www/mffb.com.cn/vendor/topthink/think-orm/src/model/concern/Attribute.php ( 21.05 KB )
  63. /yingpanguazai/ssd/ssd1/www/mffb.com.cn/vendor/topthink/think-orm/src/model/concern/AutoWriteData.php ( 4.21 KB )
  64. /yingpanguazai/ssd/ssd1/www/mffb.com.cn/vendor/topthink/think-orm/src/model/concern/Conversion.php ( 6.44 KB )
  65. /yingpanguazai/ssd/ssd1/www/mffb.com.cn/vendor/topthink/think-orm/src/model/concern/DbConnect.php ( 5.16 KB )
  66. /yingpanguazai/ssd/ssd1/www/mffb.com.cn/vendor/topthink/think-orm/src/model/concern/ModelEvent.php ( 2.33 KB )
  67. /yingpanguazai/ssd/ssd1/www/mffb.com.cn/vendor/topthink/think-orm/src/model/concern/RelationShip.php ( 28.29 KB )
  68. /yingpanguazai/ssd/ssd1/www/mffb.com.cn/vendor/topthink/think-helper/src/contract/Arrayable.php ( 0.09 KB )
  69. /yingpanguazai/ssd/ssd1/www/mffb.com.cn/vendor/topthink/think-helper/src/contract/Jsonable.php ( 0.13 KB )
  70. /yingpanguazai/ssd/ssd1/www/mffb.com.cn/vendor/topthink/think-orm/src/model/contract/Modelable.php ( 0.09 KB )
  71. /yingpanguazai/ssd/ssd1/www/mffb.com.cn/vendor/topthink/framework/src/think/Db.php ( 2.88 KB )
  72. /yingpanguazai/ssd/ssd1/www/mffb.com.cn/vendor/topthink/think-orm/src/DbManager.php ( 8.52 KB )
  73. /yingpanguazai/ssd/ssd1/www/mffb.com.cn/vendor/topthink/framework/src/think/Log.php ( 6.28 KB )
  74. /yingpanguazai/ssd/ssd1/www/mffb.com.cn/vendor/topthink/framework/src/think/Manager.php ( 3.92 KB )
  75. /yingpanguazai/ssd/ssd1/www/mffb.com.cn/vendor/psr/log/src/LoggerTrait.php ( 2.69 KB )
  76. /yingpanguazai/ssd/ssd1/www/mffb.com.cn/vendor/psr/log/src/LoggerInterface.php ( 2.71 KB )
  77. /yingpanguazai/ssd/ssd1/www/mffb.com.cn/vendor/topthink/framework/src/think/Cache.php ( 4.92 KB )
  78. /yingpanguazai/ssd/ssd1/www/mffb.com.cn/vendor/psr/simple-cache/src/CacheInterface.php ( 4.71 KB )
  79. /yingpanguazai/ssd/ssd1/www/mffb.com.cn/vendor/topthink/think-helper/src/helper/Arr.php ( 16.63 KB )
  80. /yingpanguazai/ssd/ssd1/www/mffb.com.cn/vendor/topthink/framework/src/think/cache/driver/File.php ( 7.84 KB )
  81. /yingpanguazai/ssd/ssd1/www/mffb.com.cn/vendor/topthink/framework/src/think/cache/Driver.php ( 9.03 KB )
  82. /yingpanguazai/ssd/ssd1/www/mffb.com.cn/vendor/topthink/framework/src/think/contract/CacheHandlerInterface.php ( 1.99 KB )
  83. /yingpanguazai/ssd/ssd1/www/mffb.com.cn/app/Request.php ( 0.09 KB )
  84. /yingpanguazai/ssd/ssd1/www/mffb.com.cn/vendor/topthink/framework/src/think/Request.php ( 55.78 KB )
  85. /yingpanguazai/ssd/ssd1/www/mffb.com.cn/app/middleware.php ( 0.25 KB )
  86. /yingpanguazai/ssd/ssd1/www/mffb.com.cn/vendor/topthink/framework/src/think/Pipeline.php ( 2.61 KB )
  87. /yingpanguazai/ssd/ssd1/www/mffb.com.cn/vendor/topthink/think-trace/src/TraceDebug.php ( 3.40 KB )
  88. /yingpanguazai/ssd/ssd1/www/mffb.com.cn/vendor/topthink/framework/src/think/middleware/SessionInit.php ( 1.94 KB )
  89. /yingpanguazai/ssd/ssd1/www/mffb.com.cn/vendor/topthink/framework/src/think/Session.php ( 1.80 KB )
  90. /yingpanguazai/ssd/ssd1/www/mffb.com.cn/vendor/topthink/framework/src/think/session/driver/File.php ( 6.27 KB )
  91. /yingpanguazai/ssd/ssd1/www/mffb.com.cn/vendor/topthink/framework/src/think/contract/SessionHandlerInterface.php ( 0.87 KB )
  92. /yingpanguazai/ssd/ssd1/www/mffb.com.cn/vendor/topthink/framework/src/think/session/Store.php ( 7.12 KB )
  93. /yingpanguazai/ssd/ssd1/www/mffb.com.cn/vendor/topthink/framework/src/think/Route.php ( 23.73 KB )
  94. /yingpanguazai/ssd/ssd1/www/mffb.com.cn/vendor/topthink/framework/src/think/route/RuleName.php ( 5.75 KB )
  95. /yingpanguazai/ssd/ssd1/www/mffb.com.cn/vendor/topthink/framework/src/think/route/Domain.php ( 2.53 KB )
  96. /yingpanguazai/ssd/ssd1/www/mffb.com.cn/vendor/topthink/framework/src/think/route/RuleGroup.php ( 22.43 KB )
  97. /yingpanguazai/ssd/ssd1/www/mffb.com.cn/vendor/topthink/framework/src/think/route/Rule.php ( 26.95 KB )
  98. /yingpanguazai/ssd/ssd1/www/mffb.com.cn/vendor/topthink/framework/src/think/route/RuleItem.php ( 9.78 KB )
  99. /yingpanguazai/ssd/ssd1/www/mffb.com.cn/route/app.php ( 1.72 KB )
  100. /yingpanguazai/ssd/ssd1/www/mffb.com.cn/vendor/topthink/framework/src/think/facade/Route.php ( 4.70 KB )
  101. /yingpanguazai/ssd/ssd1/www/mffb.com.cn/vendor/topthink/framework/src/think/route/dispatch/Controller.php ( 4.74 KB )
  102. /yingpanguazai/ssd/ssd1/www/mffb.com.cn/vendor/topthink/framework/src/think/route/Dispatch.php ( 10.44 KB )
  103. /yingpanguazai/ssd/ssd1/www/mffb.com.cn/app/controller/Index.php ( 4.81 KB )
  104. /yingpanguazai/ssd/ssd1/www/mffb.com.cn/app/BaseController.php ( 2.05 KB )
  105. /yingpanguazai/ssd/ssd1/www/mffb.com.cn/vendor/topthink/think-orm/src/facade/Db.php ( 0.93 KB )
  106. /yingpanguazai/ssd/ssd1/www/mffb.com.cn/vendor/topthink/think-orm/src/db/connector/Mysql.php ( 5.44 KB )
  107. /yingpanguazai/ssd/ssd1/www/mffb.com.cn/vendor/topthink/think-orm/src/db/PDOConnection.php ( 52.47 KB )
  108. /yingpanguazai/ssd/ssd1/www/mffb.com.cn/vendor/topthink/think-orm/src/db/Connection.php ( 8.39 KB )
  109. /yingpanguazai/ssd/ssd1/www/mffb.com.cn/vendor/topthink/think-orm/src/db/ConnectionInterface.php ( 4.57 KB )
  110. /yingpanguazai/ssd/ssd1/www/mffb.com.cn/vendor/topthink/think-orm/src/db/builder/Mysql.php ( 16.58 KB )
  111. /yingpanguazai/ssd/ssd1/www/mffb.com.cn/vendor/topthink/think-orm/src/db/Builder.php ( 24.06 KB )
  112. /yingpanguazai/ssd/ssd1/www/mffb.com.cn/vendor/topthink/think-orm/src/db/BaseBuilder.php ( 27.50 KB )
  113. /yingpanguazai/ssd/ssd1/www/mffb.com.cn/vendor/topthink/think-orm/src/db/Query.php ( 15.71 KB )
  114. /yingpanguazai/ssd/ssd1/www/mffb.com.cn/vendor/topthink/think-orm/src/db/BaseQuery.php ( 45.13 KB )
  115. /yingpanguazai/ssd/ssd1/www/mffb.com.cn/vendor/topthink/think-orm/src/db/concern/TimeFieldQuery.php ( 7.43 KB )
  116. /yingpanguazai/ssd/ssd1/www/mffb.com.cn/vendor/topthink/think-orm/src/db/concern/AggregateQuery.php ( 3.26 KB )
  117. /yingpanguazai/ssd/ssd1/www/mffb.com.cn/vendor/topthink/think-orm/src/db/concern/ModelRelationQuery.php ( 20.07 KB )
  118. /yingpanguazai/ssd/ssd1/www/mffb.com.cn/vendor/topthink/think-orm/src/db/concern/ParamsBind.php ( 3.66 KB )
  119. /yingpanguazai/ssd/ssd1/www/mffb.com.cn/vendor/topthink/think-orm/src/db/concern/ResultOperation.php ( 7.01 KB )
  120. /yingpanguazai/ssd/ssd1/www/mffb.com.cn/vendor/topthink/think-orm/src/db/concern/WhereQuery.php ( 19.37 KB )
  121. /yingpanguazai/ssd/ssd1/www/mffb.com.cn/vendor/topthink/think-orm/src/db/concern/JoinAndViewQuery.php ( 7.11 KB )
  122. /yingpanguazai/ssd/ssd1/www/mffb.com.cn/vendor/topthink/think-orm/src/db/concern/TableFieldInfo.php ( 2.63 KB )
  123. /yingpanguazai/ssd/ssd1/www/mffb.com.cn/vendor/topthink/think-orm/src/db/concern/Transaction.php ( 2.77 KB )
  124. /yingpanguazai/ssd/ssd1/www/mffb.com.cn/vendor/topthink/framework/src/think/log/driver/File.php ( 5.96 KB )
  125. /yingpanguazai/ssd/ssd1/www/mffb.com.cn/vendor/topthink/framework/src/think/contract/LogHandlerInterface.php ( 0.86 KB )
  126. /yingpanguazai/ssd/ssd1/www/mffb.com.cn/vendor/topthink/framework/src/think/log/Channel.php ( 3.89 KB )
  127. /yingpanguazai/ssd/ssd1/www/mffb.com.cn/vendor/topthink/framework/src/think/event/LogRecord.php ( 1.02 KB )
  128. /yingpanguazai/ssd/ssd1/www/mffb.com.cn/vendor/topthink/think-helper/src/Collection.php ( 16.47 KB )
  129. /yingpanguazai/ssd/ssd1/www/mffb.com.cn/vendor/topthink/framework/src/think/facade/View.php ( 1.70 KB )
  130. /yingpanguazai/ssd/ssd1/www/mffb.com.cn/vendor/topthink/framework/src/think/View.php ( 4.39 KB )
  131. /yingpanguazai/ssd/ssd1/www/mffb.com.cn/vendor/topthink/framework/src/think/Response.php ( 8.81 KB )
  132. /yingpanguazai/ssd/ssd1/www/mffb.com.cn/vendor/topthink/framework/src/think/response/View.php ( 3.29 KB )
  133. /yingpanguazai/ssd/ssd1/www/mffb.com.cn/vendor/topthink/framework/src/think/Cookie.php ( 6.06 KB )
  134. /yingpanguazai/ssd/ssd1/www/mffb.com.cn/vendor/topthink/think-view/src/Think.php ( 8.38 KB )
  135. /yingpanguazai/ssd/ssd1/www/mffb.com.cn/vendor/topthink/framework/src/think/contract/TemplateHandlerInterface.php ( 1.60 KB )
  136. /yingpanguazai/ssd/ssd1/www/mffb.com.cn/vendor/topthink/think-template/src/Template.php ( 46.61 KB )
  137. /yingpanguazai/ssd/ssd1/www/mffb.com.cn/vendor/topthink/think-template/src/template/driver/File.php ( 2.41 KB )
  138. /yingpanguazai/ssd/ssd1/www/mffb.com.cn/vendor/topthink/think-template/src/template/contract/DriverInterface.php ( 0.86 KB )
  139. /yingpanguazai/ssd/ssd1/www/mffb.com.cn/runtime/temp/49e0cd3e0528281c5c5fae705243dc37.php ( 11.98 KB )
  140. /yingpanguazai/ssd/ssd1/www/mffb.com.cn/vendor/topthink/think-trace/src/Html.php ( 4.42 KB )
  1. CONNECT:[ UseTime:0.000473s ] mysql:host=127.0.0.1;port=3306;dbname=no_mfffb;charset=utf8mb4
  2. SHOW FULL COLUMNS FROM `fenlei` [ RunTime:0.000805s ]
  3. SELECT * FROM `fenlei` WHERE `fid` = 0 [ RunTime:0.000339s ]
  4. SELECT * FROM `fenlei` WHERE `fid` = 63 [ RunTime:0.000267s ]
  5. SHOW FULL COLUMNS FROM `set` [ RunTime:0.000578s ]
  6. SELECT * FROM `set` [ RunTime:0.000222s ]
  7. SHOW FULL COLUMNS FROM `article` [ RunTime:0.000642s ]
  8. SELECT * FROM `article` WHERE `id` = 473267 LIMIT 1 [ RunTime:0.000609s ]
  9. UPDATE `article` SET `lasttime` = 1776497166 WHERE `id` = 473267 [ RunTime:0.007725s ]
  10. SELECT * FROM `fenlei` WHERE `id` = 64 LIMIT 1 [ RunTime:0.000309s ]
  11. SELECT * FROM `article` WHERE `id` < 473267 ORDER BY `id` DESC LIMIT 1 [ RunTime:0.000543s ]
  12. SELECT * FROM `article` WHERE `id` > 473267 ORDER BY `id` ASC LIMIT 1 [ RunTime:0.000485s ]
  13. SELECT * FROM `article` WHERE `id` < 473267 ORDER BY `id` DESC LIMIT 10 [ RunTime:0.000855s ]
  14. SELECT * FROM `article` WHERE `id` < 473267 ORDER BY `id` DESC LIMIT 10,10 [ RunTime:0.001023s ]
  15. SELECT * FROM `article` WHERE `id` < 473267 ORDER BY `id` DESC LIMIT 20,10 [ RunTime:0.001287s ]
0.084873s