本文观点仅代表个人立场,不构成任何投资建议。
今天A股三大指数集体收涨,上证指数涨了0.95%,收于4026.63点;深圳成指涨了1.61%,收于14639.95点;创业板指涨了2.36%,收于3558.53点。总成交额为2.4万亿元,较上个交易日量能放量2337亿元。
上涨家数3723家,下跌家数为1594家,上涨家数偏多一点。
全市场涨停的有71家,跌停10家,短线炒作情绪可以。
今天股票市场涨跌幅的中位数是0.66%,涨幅还可以。

日线级别
今天缩量上涨0.85%,下影线比较长,是光头阳线,明天按惯性应该还会再冲。

30分钟级别
第二个中枢正在震荡走强,目前在走离开段。

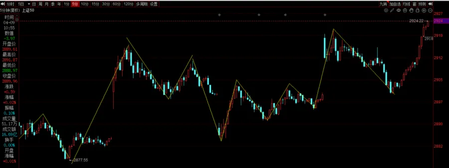
5分钟级别
看一中枢上涨,目前在走离开段,这一离开段没有走完,明天继续看多。

创业板指数
今天微放量上涨2.36%,继续创新高。
30 分钟级别上,还在延续昨天向上一笔的上涨,目前没有强势顶分形出来,明天继续看多。
科创50
今天微放量上涨2.17%。
30 分钟结构上看一 中枢上涨,目前正在构建三买的买点。
中证500
今天放量上涨 1.5%。
30 分钟级别上,表现为中枢震荡,目前在走向上一笔中。
往期更文:
如果觉得今天的行情分析对你有帮助,麻烦花 10 秒做件小事
1、点个【推荐】❤️
你的每一个点亮,都是我坚持拆解行情的小动力!
2、戳公众号名片【关注】+【星标】⭐️
点击公众号主页右上角「・・・」,设为星标后,每天的盘面解读、板块判断会第一时间弹到你眼前,再也不怕错过关键信息。
大家有任何问题,欢迎在评论区留言。
本文观点仅代表个人立场,不构成任何投资建议。